搜游戏
  • 搜游戏
  • 搜资讯
您的位置: 网游综合区 › 网游综合区行业资讯 › Ian Schreiber多角度谈游戏制作系列3上篇

Ian Schreiber多角度谈游戏制作系列3上篇

Ian Schreiber2014-11-05 14:27|18564
        直到此刻,我们之前一直单纯从游戏理论的观点来讨论游戏。也就是,我们将游戏视为规则系统,含蓄地假设规则就是游戏,叙事之类的元素只是装饰而已。

  但是,这种想法并非完全正确。正如我们在讨论决定类别时提到的那样,有些玩家选择可能根本在游戏系统中毫无意义,但是它们仍然是有意义的选择,因为这些选择充满了个人 情感。

  玩过桌面角色扮演游戏的人可能更容易意识到这一点。想象那些你曾经历过的有趣游戏过程。你可能想不起某次造成角色死亡的投掷,或者某个玩家在战斗中做出的有趣战略决策 。你能够回想起的是某些充满戏剧性和充满情感的时刻。你铭记在心的是故事,而并非死亡投掷。

  如何才能够形成优秀的故事呢?在告诉我们如何制作可以直接应用到游戏中的有用故事时,游戏设计师通常会特别提到三部作品。如果你感到好奇的话,我可以告诉你,这三部作 品是:亚里士多德编写的《诗学》;Joseph Campbell编写的《The Hero with a Thousand Faces》;Robert McKee编写的《Story: Substance, Structure, Style and the Principles of Screenwriting》。

  今天,我们将研究这些文章以及它们对游戏设计的影响力。我们将构建起整套指导如何在游戏中讲述优秀故事的理论。随后,在结尾时,我们将进行总结。

  在开课前,我建议各位先阅读以下文献:

  1、Bob Bates编写的《Into the Woods: a Practical Guide to the Hero’s Journey》。这篇文章概述了Joseph Campbell的作品,因为后者与游戏设计相关。

  2、John Sutherland编写的《What Every Game Developer Needs to Know about Story》。这篇文章概述了Robert McKee编撰的书籍《故事》(游戏邦注:这部书籍本身就是亚里 士多德的《诗学》的实用指导书籍),为游戏设计师总结出故事讲述的三位一体法。

  3、《Understanding Comics》第2章和第3章。在你阅读这部分的内容时,要特别注意如何将这些内容运用到游戏中。Scott McCloud并不会直接告诉你,所以你需要自己找出主要 的内容。

  亚里士多德

  aristotle(from hhs-english-iv.wikispaces.com)
  aristotle(from hhs-english-iv.wikispaces.com)

  在亚里士多德的年代里,许多词语的用法与我们现在使用的方法并不相同。《诗学》所探讨的并非诗歌,而是编写悲剧的方法。亚里士多德所谓的“悲剧”,指的并不是“有着悲 惨结局的故事”,而是栩栩如生的故事,即不含超自然或空想内容的故事(游戏邦注:他将这种类型的故事称为“喜剧”)。

  然而,数千年来从未改变的事实是,确实存在许多质量较差的文章。

  亚里士多德可能不是第一个注意到这种情况的人,但他肯定是第一个对此情况采取做法的人。他就如何编写得体的故事编撰了一本书。如果你觉得他的许多建议似曾相识,这也不 足为怪,因为这些内容在写作课堂上不断重复,甚至包括小学的写作课。

  比如,你可曾听说过故事应当要有开头、中间和结局?这种说法便来源于《诗学》。这提醒了我们,故事中有各种不同的部分,作者应当注意如何将这些内容妥善地搭配起来。

  《诗学》中还提出了甚为著名的故事三幕结构,从根本上将故事分割成3个部分。在首个部分中,发生的事情奠定了故事的背景。在第二部分中(也是最长的部分),主角努力在事 件发生时做出某些举动。在最后的部分中,最终解决了问题。(游戏邦注:作者听过更为形象的描述,第一幕,让英雄爬上树,第二幕,向他投掷石头,第三幕,把他从树上打下 来。)

  亚里士多德强调的重点在于,每幕与前幕都存在逻辑上的因果关系。较差的作品的样子是:“X发生,然后Y发生,然后Z发生。”较强大的作品应该是:“X发生,正因为此而发生Y ,从而触发Z的发生。”

  在主角的问题上,这种因果规则更具约束性。当坏事发生在主角身上时,不可能是毫无缘由的。坏事应该是由角色能够为人所理解的举动而产生的,而事件应当是该举动必然发生 的结局。这会使得观众怜惜和同情英雄,因为我们可以看到人性的弱点,我们可以理解为何该角色之前会做出那样的举动,而且我们也看到了正是之前的举动导致了最后的事件。 这也就解释了为何亚里士多德非常讨论所谓的“解围事件”(游戏邦注:也就是说,主角身上的结局毫无缘由地转好,比如“在主角濒临死亡之时,忽然醒来,意识到所有的这些 都只是场噩梦,故事结束”)。在“解围”中,英雄并不会影响故事结局,主角丝毫无从控制故事。

  将这种理论运用到游戏中,我们就很容易理解为何有时发现电子游戏中的角色在过场动画中死亡会让人产生挫败感。因为玩家无法做出选择,此时主角不受玩家控制,而情节就这 样发展下去。

  最后,亚里士多德所定义的舞台剧由6个元素组成,提及这点还是有一定价值的。在故事成分强大的游戏中,会出现类似的6种元素:

  1、情节。描述所发生事件的内容。

  2、主题。事件的涵义?事件发生的原因?

  3、角色。故事中所涉及的人物。

  4、措辞。对话,也包括演员在表演中的口头对话。

  5、节奏。包括音乐中的“节奏”,也包括人类话语的自然节奏。

  6、宏伟场景。这便是亚里士多德所称的“视觉奖励”或者他那个时代的特效。他经常抱怨,许多戏剧只包含宏伟场景,除此之外毫无内涵。你是否觉得这种感觉似曾相识?

     McKee

  我并不确定Robert McKee所编写过的电影剧本是否曾被真正拍摄成电影。多数时间,他负责教授电影剧本创作。如果你曾经从电影院中走出时感叹道“这个故事真得很棒”,那么 这个剧本便很有可能出自McKee某位学生之手。

  robert-mckee-story-seminar(from writersstore.com)
  robert-mckee-story-seminar(from writersstore.com)

  从本质上来说,《故事》重述了《诗学》的内容,但是更具体化地关注电影剧本创作。我觉得《故事》阅读起来更加容易,书籍以口语化的风格来编写(游戏邦注:而且,这部书 籍使用的是现代英语,而不是古希腊语)。以下是本人意译的部分McKee所著书籍中的内容:

  对故事来说,重要的不是公式,而是形式。你并非根据某个模板来创作故事。而是,通过对不同故事间普遍联系的理解,创作出独特的故事。(游戏邦注:作者补充称,这种想法 同样可以用于该过程所涉的全部做法。)

  所有的故事都有如下形式:

  1、主角有个目标,这个目标来源于某个激励性事件。

  2、主角努力去实现目标,但是遇到了沟壑(游戏邦注:各种各样的障碍,并不一定是字面意义上的沟壑),所以无法马上实现目标。

  3、主角尝试跨过沟壑。所遇到的情况不是沟壑变宽使他们难以跨越,就是他们在跨越沟壑后发现有个新的沟壑。

  4、这种沟壑跨越循环不断持续,直到主角最终完成目标,或者某种因素导致主角永远无法完成目标。

  5、在典型的三幕结构中,在幕与幕之间会产生两个新的沟壑。

  从本质上来说,故事的内涵就是改变。每个场景都应该有改变发生,或者有某些意料之外的事情发生。如果角色在某个场景的开端和末尾的状态毫无改变,那么就表明你应当移除 这个场景。以如下方式考虑问题:如果你要将自己的生活转变成时长2个小时的电影,难道你会将这些宝贵的时间浪费在日复一日的循环性任务上吗?还是说你只会呈现那些让你的 生活发生重大改变的时刻,而让观众合理地假设这些改变期间的所有事情都按照常态发生?

  你会注意到,上述情况与游戏极为吻合。游戏中需要玩家做出决定,导致游戏状态发生改变。游戏都有个结局,最后角色的目标要么实现要么因某种无法扭转的因素而无法完成。 因而,有些游戏根据玩家的体验来编造强大且自然发生的故事也就不足为奇了。

  另一个有趣的地方是,McKee讨论了“性格”和“特征”间的不同之处。当我们定义“性格”时,通常联想到的是表面化的数据,比如最喜欢的食物、血型和发色等。McKee将这些 内容称为“特征”。“性格”是定义角色本身的因素,比如“彰显角色性格的行为”或“她有很强大的道德感”等。McKee的说法是,只有当将某个角色放在对立矛盾的情形中时, 才能够体现出角色的性格。比如,我们或许会说某个人很“无私”,但是口说无凭,只有面对某些事件的选择才能体现出角色的性格,比如在着火的建筑物内是选择救助陌生人还 是自己逃生。

  性格和特征在游戏中分别指代什么呢?首先,线性化故事通过过场动画(游戏邦注:而不是游戏玩法)可以更好地展现出角色的性格。为主角做出道德选择会让玩家感到甚为艰难 ,因为选择通常并不会导致现实世界中的变故。因为这只是游戏,玩家很安全,因而他们不会失去现实世界中的任何东西。因而,玩家所做的决定并不会反映出他们自己的性格, 因为他们的性格并没有收到考验。在现实世界中为好友挡子弹与在游戏世界中决定是否获取Light Side Points并非完全相同。在游戏中加入道德考验并非不可实现,但是那些选择 的所产生的情感后果很难真正被玩家感受到。,因为做出这些决定的是玩家而不是主角。因而,在玩家无法控制故事时呈现强大的性格也会更加容易。

  但是,这也会让游戏失去部分互动性,游戏性就此减弱。而这正是为何游戏中的故事讲述较为困难的原因之一。

  Joseph Campbell

  Joseph Campbell花了大量的时间来研究深化、传说和英雄故事,寻找它们之间的相同和不同之处。他发现多数神话普遍采用某种结构,他将其称为“Monomyth”或“Hero’s Journey”(英雄之旅)。这是种具体的故事类型,因而所阐述的内容比McKee得故事描述更为具体。由于许多游戏将玩家视为英雄,所以了解以下内容也是很有用处的。

  hero's journey(from vajrakrishna.wordpress.com)
  hero’s journey(from vajrakrishna.wordpress.com)

  Hero’s Journey的流程如下:

  1、英雄开始时只是普通世界中的平民,而且这个“普通的”世界正常运转。

  2、英雄听到了冒险的号召。

  3、英雄可以决定听从这个号召,也可能会忽略。但是如果出现后者这种情况,就会发生新的事件逼迫英雄听从号召。

  4、英雄开始他们的征程,遇到了首个障碍。通常情况下,英雄需要克服这个障碍才能够继续前进。

  5、随后,英雄越过障碍,进入一个更为黑暗的新世界。他们历经考验,而且考验一个比一个艰难。在这个过程中,英雄逐渐成长。增加的不仅仅是“经验值”和“等级”,还有“ 成熟度”。英雄自身得到升华,他们变得更强,成为了真正的英雄。

  6、最后,英雄遇见了最终的邪恶之事,而且解决了这个问题。

  7、英雄获得了奖励。

  8、英雄开始回到他们自己的世界。在这个过程中他们遇到了最终的障碍。

  9、最后,英雄回到了之前的普通世界。世界或许并没有发生变化,但是英雄已经有所改变。

  你或许会发现,这种结构出现在许多英雄故事中,而Campbell所著书籍细节化地阐述了上述情况发生的缘由、其中的内涵以及与社会价值观的关系。简单地说,英雄故事讲述的是 某种文化所认可的理想道德和价值观,英雄的性格中潜藏和展现了这些东西。

  现在,你或许正打算将此用作开发的公式。不幸的是,事情并非如此简单。正如McKee所述,故事(游戏邦注:包括英雄故事)并非公式,而是形式。这篇文章的目标就是让你不盲 目地遵从Monomyth法则。

  那么,如果我们不能用上述理论来编写故事,那么它有何种用处呢?我觉得,最重要的事情是掌握故事的普遍形式,这样你就可以选择那些对自己所编写故事适合的做法。但是, 重点在于,需要谨慎地思考,“Campbell如是说”这个理由远远不够。应当注意的是,并非所有的游戏都采用这种结构,尤其是那些你在其中扮演反派角色的游戏。

  Bob Bates在他的文章中对结构发表如下评论:

  1、在编写故事时,先确立核心前提或愿景。选择一个合适的英雄。

  2、展现英雄所生存的普通世界,然后通过某个刺激性事件破坏这个世界。游戏开始时通常都会发生这种事情。

  3、进入“森林”,也就是游戏本身。

  4、“遭遇邪恶之事”是对BOSS战的本质性描述,这也是为何我们在游戏中遇到如此多BOSS战的原因。

  5、“获得奖励”可以视为英雄意识到你为故事设置的前提。并不一定要获得真正意义的“奖励”,比如一袋金币、一个公主或者一件古老的魔法物品。

  6、在游戏过程中,英雄角色应该能够成长。我们作为设计师,很容易陷入主角只在能力层次上有所提升的困境。然而,如果英雄的性格也能够在故事发生期间获得成长,这将会使 故事的质量有所提升。英雄没必要一开始就是完美的。如果他们刚开始是个农夫,随后通过故事成为圣人,这样的故事会更加有趣。记住,英雄也必须获得成长,不仅仅是玩家。

  Scott McCloud

  《Understanding Comics》在第2章和第3章中有关故事讲述的内容并不多,但是却在创建强大角色和戏剧化时刻方面提供了许多有用的建议。

  在44页和45页上,McCloud断言图表和现实主义照片的艺术形式存在不同之处。他指出,东西越图标化,我们越能够将自己融入其中,越细节化和现实化,我们越会将其与自身区分 开来。(游戏邦注:这是因为人类的大脑是很棒的样式识别机器,我们能够在空白处填上我们看到的样式,与其他我们已经识别的样式区分开来。)

  游戏中如何呈现上述理论呢?

  1、想想许多电子游戏中的主角,包括Master Chief、Samus Aran、Gordon Freeman和Chell等。通常情况下,你不会看到自己所控制角色的过多信息,你也听不到他们的许多话语 。这种情况的出现并非偶然。这是故意设置的,使玩家可以将他们自己的个性融入到角色之上。角色成为了玩家的延伸,你觉得自己与角色存在情感维系,因为二者已经融为一体 。

  2、此外,你也会看到某些定义分明的强势角色,如Duke Nukem和Lara Croft。在这种情形中,我们迅速地识别出主角并非我们自身。为补偿这种感觉,角色们必须展现出强大的个 性。

  3、总的来说,我觉得主角的设计可以选择上述两种做法之一。将其图标化而不定义其个性(游戏邦注:让玩家可以创建出蕴含自己个性的角色),或者将其现实化,赋予角色强大 的性格。二者任何形式的结合都将使得玩家更难与他们的化身和角色产生情感维系。

  4、再考虑下游戏中的敌人和对立角色。因为现实主义视觉能够产生外部感,高度细节化的敌人让玩家看起来非常陌生,而有着卡通化和或图标化感觉的敌人看起来会更加熟悉。视 频游戏《毁灭战士》中的怪物以现实主义风格绘制而成,让它们看起来更加像外星人,因而感觉起来更加危险。相反,《口袋妖怪》中的怪物更为卡通化,让它们看起来更加友好 ,这完全适合这款可以招募怪物将其转变成好友的游戏。在桌游中,我们希望接触的是那些有着图标化棋子(游戏邦注:如象棋中双方颜色不同的棋子)的游戏,这可以让玩家将 棋子视为自身的延伸,其他玩家的棋子也能够带来某种熟悉感。相对而言,有着高度细节化棋子(游戏邦注:带有深层次角色描述的现实主义风格小模型)让玩家将自己和角色区 分开来,而且也会导致玩家之间处在对立面上。

  5、在环境的处理上也会看到上述理论。如果环境(游戏邦注:包括电脑中的3D环境和桌游的2D实体游戏环境)采用现实主义手法,就在不断提醒玩家这是个游戏世界。这种做法更 适合那些想要让玩家感受到自己进入某个新世界的游戏。比如,高质量的现实主义环境能够提升悬疑和恐怖游戏的质量。

  McCloud提出的又一个看法是我们会使用工具,我们也会将这些工具视为自我的延伸。我们的自我延伸感并不仅仅局限于身体,还可以是处于直接控制下的所有东西。正如他指出的 那样,当你身处车祸现场时,你更有可能说的是“他们撞了我”,而不是“他们的汽车撞了我的汽车”。

  这与游戏有何关系呢?

  1、对于电子游戏而言,主机控制器(游戏邦注:还有鼠标和键盘)成了人类身体的扩展。玩家将控制器视为自身的一部分。这也就解释了为何玩法控制以及良好的用户界面对电子 游戏的重要性,如果你不知道要如何通过控制器来玩游戏,那种挫败感不亚于你想要用手捡起东西时发现自己的手不听使唤。

  2、对于电子游戏和桌游二者来说,虚拟形象(游戏邦注:也就是玩家在游戏中的化身)也扮演着玩家的扩展。就像在汽车事故中那样,如果你的对手吃掉了你的棋子将其送回起点 ,你很可能会说“他们刚刚让我退会起点”。作为设计师,应当注意玩家与游戏中化身的情感链接。

  我想要让你注意的最后一个要点是McCloud的“blood in the gutter”概念(游戏邦注:书中66页到69页)。在书中描述了两个场景,其一是谋杀者将斧子挥向受害者,其二只是 展示了个尖叫声。受害者的死亡时间是何时呢?在这两个场景之间,正是你这个读者靠着自己的想象力杀死了他,而这个画面并没有真正呈现出来。

  这便是所有故事讲述媒介中的暗示。Alfred Hitchcock是这方面的大师级人物。比如,在著名的《Psycho》中,事实上你并没有看到任何内容。有个人手上拿着刀做出刀割的动作 (游戏邦注:并没有呈现出任何受害者),另一个画面是妇人尖叫的声音(游戏邦注:并没有呈现受害者是她),如此反复并最终呈现流淌的血液(游戏邦注:此时谋杀者和受害 者画面都没有呈现出来)。

  我们要如何将这种方式运用到游戏的故事讲述中呢?

  1、某些故事讲述者有强烈的欲望说出所有发生事件的技术性细节和奇幻世界的背景故事。但是并没有必要这么做。玩家会自行填满空白之处。事实上,你并不需要告诉他们所有的 事情。

  2、事实上,如果你不告诉所有细节的话,有时候效果会更好。玩家的想象力无疑比游戏中的艺术作品更为鲜活。

  3、将玩家视为故事中的积极参与者。你所编写的故事要对他们使用想象力予以奖励。

  4、该做法还存在经济上的好处。我们总是想将大量的资金投入细节化的艺术以及时间更长的过场动画中,但是如果我们采用更为经济的做法,展示较少的内容,做法恰当的话我们 可以取得更好的效果。

  5、换句话说,少可能转变成多。对于故事编写者来说,找到“理解所发生事件的足够信息”和“给想象力的发挥留下空间”是最具技巧性的工作,这也是游戏故事讲述较为困难的 又一个原因。

  6、想想你看过的某些故事(游戏邦注:包括游戏和其他故事),研究过少或过多的信息对故事所产生的影响。再想想那些保留部分信息的故事,用户或许会获得更为愉悦的体验。

  Ernest Adams

  ernest_adams(from paulhazel.com)
  ernest_adams(from paulhazel.com)

  游戏设计师Ernest Adams在GDC 2006上做了个鼓舞人的演讲,题为“互动故事新愿景”。首先,他简单地总结了上文中描写的某些内容,然后进一步挑战我们所有的基本想法,随

  后他尝试取得进一步的发展。以下是我的记录以及部分个人见解:

  1、亚里士多德的《诗学》很不错,但不要忘记了,这部书籍针对的是戏剧而不是游戏。故事可能确实包含开始、发展和结局三个部分,但是在游戏中,故事通常包含多个开始、发 展和结局。三幕结构对2到3小时的戏剧和电影确实有效,但是并不一定适合30分钟的桌游、玩时长达1个月的RPG竞赛或100个小时的主机游戏。

  2、Campbell的Hero’s Journey的效能仅限于英雄故事。那么,如果你的故事与英雄无关又会怎么样呢?而且,正如Campbell自己承认的那样,Monomyth并非模板,所以我们不能 将其用作构建故事的工具。

  3、McKee的《故事》关注的是电影剧本,因而它或许并不适合于所有游戏。游戏是种与电影不同的媒介。尽管二者间存在某些共同之处,但是了解差异性也是很重要的,因而任何 有关电影剧本创作的建议在用到游戏设计中时都应当小心谨慎。

  那么,如果上述这些书籍都无法起到作用的话,难道我们就毫无收获吗?(我不这么认为。我们仍然需要有个起点,而以学习其他媒介中形成优秀故事的元素作为起点确实不错。

  )

  随后,Adams阐述了我们在讲述游戏中故事时经常做的3个假设:

  1、互动故事的“圣杯”是个完整的沙盒,这是个完美的模拟世界,对玩家的所有输入都能够做出令人相信的回应。

  2、互动故事并非游戏。

  3、当玩家被包含到互动叙事时,他们应当考虑的是故事而不是游戏机制。

  接下来,他向着3个假设发起挑战:

  首先,呈现完美的模拟世界可能产生何种坏处呢?实践性的原因总是存在的,因为这样做势必要花费大量资金。还有来自Koster的论据,我们已经拥有了一个现实世界,而且并非

  总是充满乐趣。但是多数情况下,关键的问题在于,即便在最为“开放世界”的游戏中,玩家并非从完全自由中获得快乐,他们的快乐源于在被限制的环境中拥有自由。

  Ernest提出了另一个设计师的规则,他称之为“Ken Perlin原则”:互动故事中事件的成本必须与它的不可能性成比例关系。那么,“成本”的含义是什么呢?他解释道,每个作 者都有个“可信度预算”,如果发生了过多令人不可思议的事情,故事就会让人产生怀疑。故事中发生的所有不太可能发生的事件的总和不能超过某个特定的数量,否者便会引起 玩家的反感。(自然,某些游戏与其他游戏相比有较高的可信度预算,这与游戏所设置的场景有关。比如,在魔法世界中,在空气稀薄的高空中出现小鸡是稀松平常的事情,而在 现实主义现代化场景中,这种情况会被人当成是不恰当的设计。)

  作为互动故事设计师,从本质上说你是在与玩家达成协定:如果你(也就是玩家)做出可信的行动,你就会得到可信的故事。这是很重要的,因为设计师和玩家共享可信度预算。 玩家必须接受故事所设置的场景。如果玩家采取与故事世界不相一致的举动时,他们得到的就是不可信的故事,而且过错并不在故事作者,而在玩家。如此,故事作者的目标并非 创造出在所有情况下都100%可信的故事,他们必须实现的是在玩家采取可信做法时呈现出可信的回应。

  正如我们从Doug Church的《Formal Abstract Design Tools》中所看到的那样,玩家意向和叙事间存在某种平衡。但是,我们可以通过玩家和设计师间达成的“角色扮演”社交合 约来扩展。

  当然,为了让玩家能够接受这个合约,他们必须了解游戏的规则,而且他们必须同意在这些规则之下玩游戏。如此说来,规则是游戏中的重要成分,但是互动故事和游戏也通过某 种方式联系起来,让玩家获得游戏和故事的双重体验。

  融合游戏和故事的方法,这难道不是我们苦苦追寻的吗?

  总结

  亚里士多德、Campbell和McKee为故事讲述者提供了许多经常被引用的建议,因而我们将他们的建议应用到游戏中是很自然的事情。对于那些对游戏这个层面特别感兴趣的人,我强 烈推荐你自行阅读他们的书籍。

  在游戏中,玩家及其角色和化身的识别是让玩家与游戏间产生情感维系的常用方法。在你设计游戏时,考虑这部分的内容,想想你还可以采取哪些做法加大玩家对游戏的情感投入 。

  记住,故事作者构建的故事情节同来源于游戏玩法的自然发生的故事间有所不同。在制作每款游戏时,想想哪个部分更加重要,你可以如何对该部分进行加强。

  对某些游戏设计师而言,真正的“互动故事”是游戏的必杀技。事实上,我们常常无法带给玩家这样的感觉:在自己创造的有趣故事中,他们是主角。我们过去如何叙述互动故事 ,未来要如何创造更优质的故事内容?这是尚待解决的问题,但我们至少可以谈论某些众所周知的基本要素,这就是我们今天的主题。

  Planetfall from en.wikipedia.org
  Planetfall from en.wikipedia.org

  多数棋盘游戏都缺乏稳固的嵌入式叙述故事,所以本文主要讨论视频游戏及桌面RPG游戏的故事叙述。但有些现代棋盘游戏试图将桌面棋盘游戏体验同RPG模式结合起来,包括玩家 互动玩法中的故事元素。

  推荐读物

  * Noah Falstein的《A Point of View》。我们将故事叙述视角划分为“第一人称”或“第三人称”——我们也以此谈论视频游戏视角。因此我们很容易会认为二者存在关联性, 但其实并非如此。文章清楚阐述二者存在的差异。

  * Chris Bateman的《Diversity in Game Narrative》。这主要概述游戏存在的各种故事结构。

  * 《Challenges for Game Designers》第13章。

  我们可以简单就游戏整体结构划分故事内容。故事结构由玩家享有的各种选择、选择的开放性或局限性及这些选择给故事带来的影响决定。每种结构都有利弊,下文我们将进行讨 论。

  storylinear from gamedesignconcepts.wordpress.com
  storylinear from gamedesignconcepts.wordpress.com

  线性模式

  线性故事是传统的故事叙述模式,其包含某些不会影响故事的玩法元素。在这种情况下,故事和玩法属于独立体,因为故事没有选择,而玩法通常包含某种决策过程(游戏邦注: 否则这就是故事,而不是游戏)。他们可以在主题上有所联系,故事可以影响玩法,但玩法无法影响故事,因为故事只有一个。

  线性故事相比其他故事结构存在一大优点:能够轻松采用已有数千年历史的传统故事叙述方法。这类故事存在强烈情感冲击——我们依然将《堕落星球》的Floyd之死及《最终幻想 7》的Aerith之死作为游戏故事叙述发展史中的关键时刻,虽然这些事件都不在玩家的控制之中。

  线性故事由于缺乏决策元素存在明显弊端,其游戏色彩并不突出。就如上面说到的,线性故事和游戏机制存在天然屏障,这会限制故事的效果。

  storybranching from gamedesignconcepts.wordpress.com
  storybranching from gamedesignconcepts.wordpress.com

  分支型

  若我们想要添加决策因素,最明显的办法就是在线性故事中添加各种决策点。当玩家到达特定地点时,他们需决定怎么选择,然后故事就会沿某路线发展,直至到达另一选择点。 典型例子就是Sega Genesis的《梦幻之星III》;主角有两次在两位女孩中选择一位作为结婚对象的机会,这就带来4个分支路线,每个路线都有自己的故事和结局。

  分支故事的优点是具有互动性。若开发者设置众多选择,覆盖玩家的所有期望,游戏就能够有效回应所有玩家决策。乍看之下,这似乎是游戏叙述的最终解决方案,因为这能够应 对所有问题。

  但分支故事存在一大缺点:成本很高。就两种选择而言,《梦幻之星 III》故事创作者就得编写4种故事。若是存在第三种选择,他们就得编写8种故事,而10种选择则需要1024种 故事!想想典型策略游戏玩家所做的决策数量,你会发现编写分支故事任务瞬间变得难以驾驭。

  更糟的是,只玩一次的玩家就无法浏览所有游戏内容。要查看所有游戏发展路线需进行多次重复体验,即使如此,玩家还需判断哪个是真正的故事,哪些是没有发生的额外故事情 节。

  storyparallel from gamedesignconcepts.wordpress.com
  storyparallel from gamedesignconcepts.wordpress.com

  平行型


  用Bateman的话说,这是自行分解的分支故事,允许玩家做决策,最终将全部内容压缩成若干命令事件。例如,在《Silent Hill》中,玩家享有若干选择, 或发展故事,或沿途呈 现某些额外故事元素,这些都会影响结局。但无论玩家有没有进行额外操作,有些事件他们无法回避。

  平行路线通过保持玩家决策及控制故事数量解决分支模式叙述存在的问题。所以,乍看之下这似乎是最根本的故事结构。

  也许你早猜到,此模式依然存在一个问题:由于玩家被迫面对某些事件,整个故事情节就变成线性模式。游戏丧失玩家主导感觉,因为无论他们进行什么操作,某些故事内容依然 会出现。

  一个潜在解决方法是,让玩家决策改变游戏结局。玩家依然会遇到同样的故事情节,但最终结果由玩家所做决策决定。遗憾的是,因果关系将很快丧失——玩家决策只有到尾声阶 段才会显露出来,玩家对特定结局所造成的影响通常非常模糊。

  此外,此结构还存在这样的问题:玩家需反复体验整款游戏数次才能获悉所有结局。

  storythreaded from gamedesignconcepts.wordpress.com
  storythreaded from gamedesignconcepts.wordpress.com

  交错型

  Bateman用此形容分解成小块内容的故事,也许还有若干故事情节(游戏邦注:这些故事也许相互交错)同时进行。玩家选择以何种顺序进行,采用哪个路线。例子之一就是《魔兽 世界》,其中玩家能够选择任意关卡,体验不同故事元素。另一例子是《上古卷轴》系列,玩家能够基于自己的期望选择特定故事情节,玩家会沿途操作其他关卡或次要情节。这 些次要情节也许会给主要故事情节带来影响。

  交错叙述故事的优点是富有表达性。设计师可以选择让各种故事情节同时发生,就像《黑色追缉令》和《真爱至上》之类的非线性电影。

  此外,故事也许还会有各种开端、主体和结局,但玩家能够接触所有内容,能够以任何顺序体验任何内容组合,所以强制性重复体验问题便迎刃而解。若玩家足够心思缜密,只要 通过一次体验就能够浏览所有游戏内容。

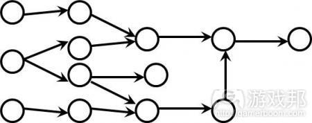
  这依然存在一个问题。由于某些事件会影响其他事件,通过故事查看各种可能路线的过程要比分支叙述模式复杂许多。

  编写交错内容也颇有难度,事件能够以任何顺序发生,因此就存在玩家以不合理顺序操作内容的可能。故事创作者需确保玩家所访问的故事事件富有意义。追踪故事内容活跃性的 决定变量就会立即变得非常复杂。

  最后,交错故事存在混淆玩家的危险,若同时存在过多个并行情节,玩家就无法立即辨别它们之间的关系。这也是书籍、电影试图同时讲述多个故事所面临的风险。

  storydynamic from gamedesignconcepts.wordpress.com
  storydynamic from gamedesignconcepts.wordpress.com

  面向对象的动态叙述

  此术语源自Bateman对《Fa?ade》的描述。意思是游戏存在若干迷你故事,每个故事都有特定进入点和退出点。单个迷你故事的退出点会引出最终结局,或另一迷你故事。迷你故事 可看作是书籍的“章节”,戏剧的“幕”。

  这类故事有平行模式的优点,但缺乏先线性故事的特色。每个迷你故事都有自己的选择,整个迷你故事集合就像是更大分支或平行故事。每个迷你故事都有独立性,这能够减少编 写完整故事所需的时间。

  这类游戏存在两个弊端。首先,这类故事依然存在强制重复体验问题:玩家需体验游戏数次方能获悉所有故事路线。这也是试验中的故事结构,目前这类游戏数量不多,不足以让 我们分析其利弊。《Fa?ade》是由若干计算机博士共同完成,所以这不是传统故事创作者能够轻松驾驭的故事结构类型。

  视角剖析

  视频游戏的摄像头或第一人称,或第三人称。

  摄像头视角

  第一人称是指摄像头置于主角的额头前。玩家所见即角色所见。这促使玩家觉得自己同角色的联系更密切,因为可以这么说,玩家就处在角色的头部里面。此模式的缺点是,这不 是真正的第一人称视角,因为人类的周边视觉要比屏幕宽许多,有时这会损害玩家的沉浸性,因为他们不习惯此处视野的局限性。

  而在第三人称摄像头视角中,玩家看着主角,通常从角色背后切入,这样你就能够看到角色的背部。这让玩家得以更广泛地浏览游戏空间,向玩家提供的角色视觉信息更逼真。当 然通过保持注视角色,玩家会感受到他者性——没有镜子的帮助,我们无法看到自己的背部,所以摄像头视角提醒我们主角不是自己。

  将此同麦克劳德的图标&现实主义理论结合起来,我们会发现第一人称角色更接近图标,更像是个“白板”角色,其中玩家能够将自己的个性影射到上面,而逼真的第三人称角色就 有强烈的特征描述。

  假设存在第二人称摄像头视角,它主要指玩家从正面观察主角。毋庸置疑,这会令多数游戏陷入混乱局面。最贴近的例子就是晦涩的掌机游戏《Robot Alchemic Drive》,其中玩 家控制人物角色(第三人称),而角色反过来会通过遥控装置控制庞大机器人(第二人称)。从此意义上看,机器人就是主角,游戏就是采用第二人称摄像头视角。

  故事视角

  谈论文学时,我们也会使用“第一人称”和“第三人称”。这存在不同之处。

  第一人称故事是指叙述者以自己的角度叙述故事。主角直接面对读者,告诉读者自己所遭遇的事件。

  第三人称故事更常见,是指故事以旁观者角度切入。这也许是“第三人称全知视角”,其中读者能够看到发生的所有事件,甚至读出多个角色的想法,而在“第三人称局限角度” 中,有些信息则不为玩家所知。

  文学中鲜有的故事类型是第二人称模式,这里的故事从读者视角切入。这类故事非常少见,因为以可信角度编写此故事颇具难度。

  你也许会发现此刻几乎所有游戏叙述都基于第二人称。这就是玩家控制角色会出现的情况,这种情形很常见。

  这也是故事叙述颇具难度的另一原因。

  互动角色

  有时游戏的整个故事脉络已确定,呈线性模式,但依然存在若干供玩家进行互动的角色。在视频游戏中,人际关系通常需要量化,NPC同玩家的关系有两种常见模式。

  标记


  此背景下的“标记”具有二元值。某活动或发生,或未发生。玩家同某NPC或交谈,或没有交谈,若他们有进行交谈,他们或选择,或没有选择某沟通路线。因此,特定新NPC或者 沟通选择,或出现,或消失。

  标记的优点是操作简单。所有情况或发生,或没有发生,这简化玩家的操作逻辑。这同时也非常容易在代码中落实;程序员能够轻松制作二元逻辑。

  缺点是若这些角色非黑即白,中间没有灰色元素,便缺乏足够深度。设计师可以通过结合二元值提高复杂性,但此时操作会变得非常复杂,丧失之前提到的简单性优点。

  亲密性

  亲密性不是基于是/否二分法,而是通过数值测量角色对另一角色的喜爱或厌恶程度。若你需要判断某NPC是否以特定方式表现,不妨查看其亲和力值是否超越特定界限值。

  亲密性机制的优点是其依然保持简单,比标记机制更能应对复杂内容,更富有表达性。

  但开发者需谨慎使用亲密机制。他们得到的也许是非常模糊的机制,尤其是当亲密变量或随机摇骰机制参与决定最终结果。总之,我们很难在未进行广泛测试的情况下,“准确把

  握”此机制。

  角色对话


  有些游戏包含对话机制,角色具有话语选择权,所瞄准的NPC会给出相应回应。

  我们可以通过相同方式思考游戏叙述机制。对话可以是:

  * 线性模式。我走进NPC,选择“交谈”指令。它们告知我某些情况。

  * 分支型。我发起对话。NPC陈述某事,我随后享有系列回应选择。根据我的回应,NPC也许会陈述其他内容,给我全新的系列选择。

  * 平行型。我发起对话。NPC陈述某事,我享有系列回应选择,然后它们做出相应回应。但我可以通过若干回应组合得到相同结果。

  * 交错型。我发起对话,可通过各种方式开始谈话。NPC做出相应回应,我在对话中采用的每个行动都会开启新的对话路线,关闭不相关的对话主题。

  * 动态型:我同时经历分支或平行对话。我基于结果继续新对话。各模式下的对话编写难度同对应故事编写难度成正比。

  构造优质角色

  有些故事角色非常“丰满”——它们有很多层面,深刻的角色通常富有层次,非常精细,会随故事的发展而发展。

  有些角色则非常“单调”。单调角色是否总是不好?其实不然;不是所有角色都要复杂、深刻或定义清楚。即便是在莎士比亚的戏剧中,也有某些非常单调的次要角色,但主要正 反角色要非常丰富。

  一般原则认为,角色需随故事的发展而发展。因此,“放映时间”较少的次要角色需保持单调,因为它们的发展时间很短;常见角色需要富于变化。若你希望创造强烈角色,设计 单调主人公不是个好主意。


        Ian Schreiber多角度谈游戏制作系列3下篇

全文终 当乐小编:小可

特别声明:以上文章内容仅代表作者本人观点,不代表当乐观点或立场。如有关于作品内容、版权或其它问题请于作品发表后的30日内与当乐联系(copyright@downjoy.com)

游戏排行榜

  • 日榜
  • 周榜

猜你喜欢

狂神无双
狂神无双

类型:角色 3D 仙侠